|
Characteristics and applications
HL, HLL (LX, LXZ) pin spider coupling : with micro compensation performance, simple structure, easy manufacture, convenient replacement pin, poor reliability, suitable for axial movement, frequent starting, the drive shaft rotation, is not suitable for the working reliability of the high precision parts that is not suitable for high speed and heavy load and strong impact of shafting vibration of shafting installation, low accuracy should not be used. Related products
HL (LX) - basic type;
HLL (LXZ) - with brake wheel type;
![]()
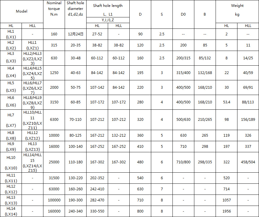
HL, HLL (LX, LXZ) pin spider coupling Basic Parameters And Main Dimensions:(GB/T 5014-85<2003>) mm
![]() |






