|
Characteristics and applications
GIICL type drum gear coupling: with a small amount of axis offset compensation performance, can not be buffered and vibration damping. Small size, large torque transmission in theory, need to be lubricated and sealed, but the noise is large and the price is expensive. It is used to connect the two coaxial axis transmission. It is used for connecting horizontal two coaxial lines under low speed and heavy load conditions, such as metallurgical machinery, heavy machinery and so on. It is not suitable for high speed and high precision shafting transmission. It is not suitable for frequent starting and changeful working conditions. Related products
WG -- basic type;
WGP - with brake disc type, suitable for matching with point disc brakes.
WGZ - with belt brake wheel type, suitable for matching with the brake pad;
WGT - the intermediate sleeve is suitable for two axis long distance connection. The allowable speed [n] depends on the length and quality of the middle sleeve, and the critical speed should be calculated.
WGC - vertical installation type, used for connecting vertical two axis axis system.
I - the sealing end cover is a separation type, with a large distance between the teeth. It can allow the larger radial displacement, and can be connected with the Y, J1 and Z1 type shaft.
II - the seal end cover is the whole body, the tooth spacing is small, the relative allowable radial displacement is small, the structure is compact, and the moment of inertia is small, and it can be connected with the Y and J1 type shaft.
GICL - basic type (wide type);
GIICL - basic type (narrow type);
GICLZ - intermediate shaft type (wide type);
GIICLZ - intermediate shaft type (narrow type);
GICL, GIICL type, used for direct connection of two axis.
GICLZ, GILZ type, used for two axis long distance connection;
GCLD - shaft extension type for motor shaft extension connection.
![]()
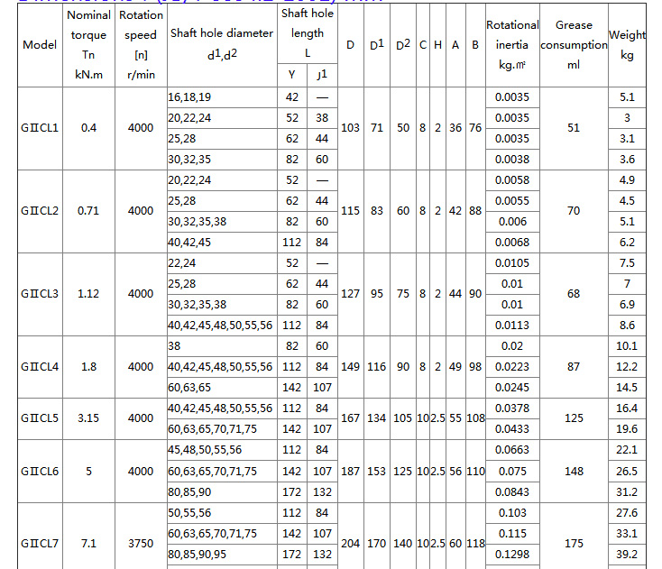
GIICL drum gear coupling Basic Parameters And Main Dimensions:(JB/T 8854.2-2001) mm
![]() ![]() |







