|
Characteristics and applications
SWC-WH universal joint : the connection of two different axis of the drive shaft, not cushioning and damping, the whole fork structure, fixed bearing without bolt, avoid fracture, loosen the bolts and prolong the service life, convenient maintenance, high reliability, large bearing capacity, high angle, can be in beta less than 5 degrees to 25 degrees under the conditions of work. It is suitable for rolling machinery, lifting transportation, construction machinery, petroleum machinery and other heavy machinery. To meet different installation requirements, there are seven structural types. Related products
BH -- standard telescopic welding type;
BF -- standard expansion flange type;
DH -- short expansion welding type;
CH -- long telescopic welding type;
WH -- non-telescopic welded type;
WF -- non-telescopic flange type;
WD -- no-telescopic short type;
![]()
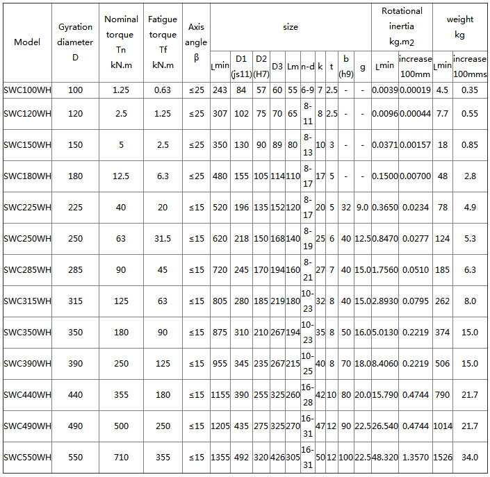
SWC-WH non telescopic welded universal joint Basic Parameters And Main Dimensions(JB/T 5513-91) mm
![]() |






